Professor Thermal

Welcome!

This community is for professionals and enthusiasts of our products and services.
Share and discuss the best content and new marketing ideas, build your professional profile and become a better marketer together.

0

Website for Professor Thermal

Avatar
Kenneth Wyrick

Professor Thermo@ProfessorThermo‧1.17K subscribers‧71 videosMore about this channelengineering.purdue.edu/~dumulisSubscribedHomeVideosLiveCommunity

VideosPlay all

17:00NOW PLAYING

How many receptors do you need to be a good sensing cell?

183 views3 years ago19:27NOW PLAYING

Diffusion limited reactions

661 views3 years ago15:52NOW PLAYING

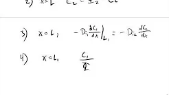
Diffusion through cylindrical coordinates.

3.7K views3 years ago4:36NOW PLAYING

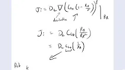
Diffusion equation in spherical coordinates

7.3K views3 years ago16:57NOW PLAYING

Derivation of transport from particles (Telegraph Process)

263 views3 years ago12:29NOW PLAYINGWatch laterAdd to queue

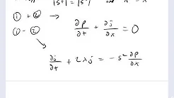
Diffusion solution for layers of material

238 views3 years ago

Avatar
Discard